【学术速递】念珠菌甘露聚糖 (Mn) 抗原和抗Mn-IgG、Mn-IgM抗体检测在念珠菌感染诊断价值
发布时间2019-12-30 丨 来源:丹娜生物 丨 浏览量 934

2019年11月中国人民解放军总医院(301)解立新教授课题组在Mycoses杂志上发表了一篇关于念珠菌甘露聚糖 (Mn) 抗原和抗Mn-IgG、Mn-IgM抗体检测在念珠菌血症、侵袭性念珠菌病(气管吸物和尿培养阳性)患者诊断价值的前瞻性队列研究。
本文收集2017年1月1日至2018年12月31日中国北京23个医疗中心的临床数据和血清样本。本研究共纳入452例样本,念珠菌感染组188例(念珠菌血症=56例、气管吸物培养阳性=69例、尿培养阳性=63例)。对照组264例(包括健康人=212例、细菌菌血症=52例)。
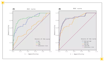
首先,本研究以56例念珠菌血症患者为研究对象,212例健康人为对照组进行研究,Mn抗原和抗Mn-IgG抗体具有良好的诊断价值。Mn抗原的敏感性和特异性分别为60.71%和86.79%,抗Mn-IgG抗体的敏感性和特异性分别为80.36%和84.43%。Mn抗原和抗Mn-IgG抗体联合检测诊断性能显著提高,见图1。

图1(A) Mn抗原,抗Mn-IgG和Mn-IgM抗体在念珠菌血症VS健康人的诊断价值;(B)多种组合联合检测的诊断价值。
其次,188例念珠菌感染组培养出常见的5种念珠菌种,包括白念珠菌,光滑念珠菌,近平滑念珠菌,热带念珠菌和克柔念珠菌。白念珠菌多达93例,克柔念珠菌仅有5例。其中,近平滑念珠菌Mn抗原水平最低为29.30 pg/mL与健康人Mn水平14.45 pg/mL相比差异显著有统计学意义(P<0.001)。热带念珠菌抗Mn-IgG抗体水平最低76.25 AU/mL与健康人抗Mn-IgG抗体水平40.57 AU/mL相比差异显著有统计学意义(P<0.001),由此可见,念珠菌感染患者的Mn抗原和抗Mn-IgG抗体与健康人相比差异显著具有统计学意义(P<0.001),见表1。
表1 188例念珠菌感染组患者Mn抗原,抗Mn-IgG和Mn-IgM抗体水平

最后,作者研究了Mn抗原和抗Mn-IgG、Mn-IgM抗体检测在56例念珠菌血症和132例侵袭性念珠菌病(气管吸物和尿培养阳性)患者的诊断价值。结果显示,念珠菌血症和侵袭性念珠菌病Mn抗原水平无显著差异,抗Mn-IgG、Mn-IgM抗体水平差异显著有统计学意义(P=0.002,P=0.005)。
综上所述,丹娜生物Mn抗原和抗Mn-IgG抗体在念珠菌血症和侵袭性念珠菌病均具有较高的诊断价值,当Mn抗原和抗Mn-IgG抗体联合检测诊断性能显著提高。